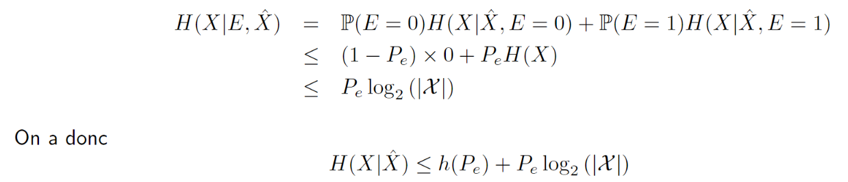
Démontrer \((1)\) :
On note \(E\) la v.a. Qui indique s'il y a eu une erreur.

On peut obtenir deux égalités à l'aide d'un diagramme de Venn.

Deux termes peuvent être rapidement majorés.

Un autre terme peut être majoré via la formule de conditionnement par parties, ce qui donne la première inégalité.

Reste à utiliser la formule avec les information mutuelles et le Théorème du traitement de l'information pour avoir la deuxième inégalité.
